Soul Lotus

Sun And Moon Couple Rings Set

$95.00
$119.00

This is a set of uniquely designed couple rings inspired by the "Sun and Moon." When placed together, those couples rings symbolize the perfect harmony of day and night. The sun ring features distinct radial patterns that embody a sense of radiance and strength, making it truly one-of-a-kind. The silver's sheen reflects the brilliance of the sun, evoking the feeling of a blazing orb right before your eyes. The moon ring, on the other hand, is adorned with an elegant crescent at its center, exuding a softness that is both calm and serene, like a sliver of moonlight casting its cool glow upon the world.

Under the play of light and shadow, the rings subtly shimmer, intertwining the sun's warmth with the moon's grace. This dynamic blend of motion and stillness resonates with the balance often found between couples—active and calm, masculine and feminine. The alternation of sun and moon mirrors the union of man and woman, creating a moment where time and nature become eternal. Therefore, these matching rings for couples are perfect for lovers to purchase.

Sun And Moon Couple Rings Set
Sun And Moon Couple Rings Set
Sun And Moon Couple Rings Set
Sun And Moon Couple Rings Set
Sun And Moon Couple Rings Set
Sun And Moon Couple Rings Set
Sun And Moon Couple Rings Set
Sun And Moon Couple Rings Set
Sun And Moon Couple Rings Set
Sun And Moon Couple Rings Set
Sun And Moon Couple Rings Set
Sun And Moon Couple Rings Set
Sun And Moon Couple Rings Set
Sun And Moon Couple Rings Set

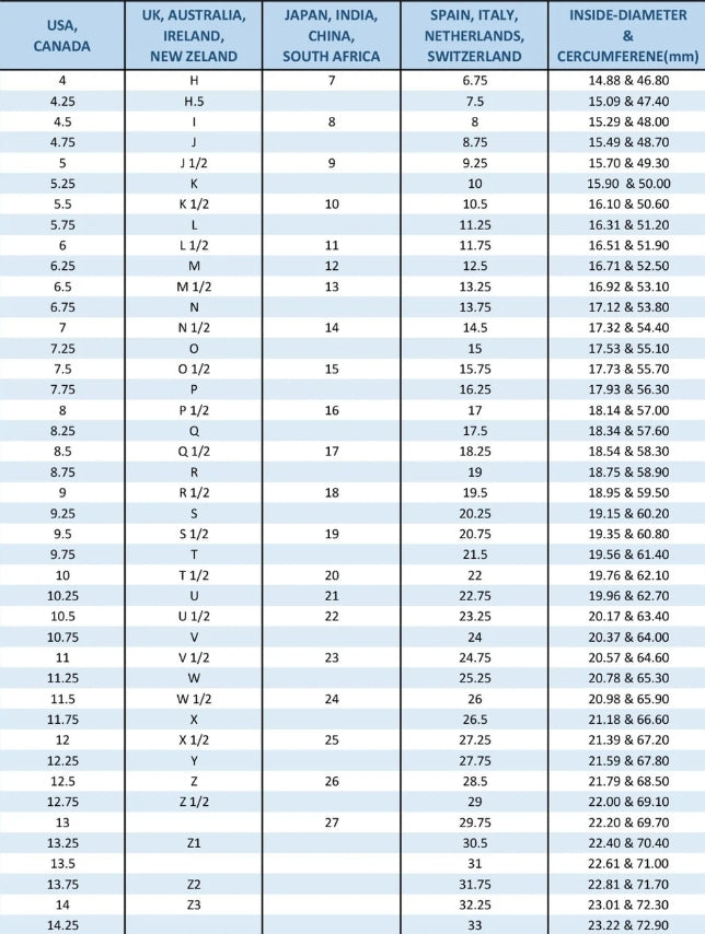
What does the Moon And Sun Couple Rings Set include?

925 Silver Sun Simple Ring For Men
925 Silver Sun Simple Ring For Men
925 Silver Sun Simple Ring For Men
925 Silver Sun Simple Ring For Men
925 Silver Sun Simple Ring For Men
925 Silver Sun Simple Ring For Men
925 Silver Sun Simple Ring For Men
925 Silver Sun Simple Ring For Men
925 Silver Simple Moon Ring
925 Silver Simple Moon Ring
925 Silver Simple Moon Ring
925 Silver Simple Moon Ring
925 Silver Simple Moon Ring
925 Silver Simple Moon Ring
925 Silver Simple Moon Ring
925 Silver Simple Moon Ring
925 Silver Simple Moon Ring
925 Silver Simple Moon Ring

925 Silver Sun Simple Ring For Men

$63.00

925 Silver Simple Moon Ring

$63.00

What’s special about Moon And Sun Couple Ring Set

Moon

In Chinese legend, a beautiful fairy named Chang'e is said to reside on the moon. Because of her extraordinary beauty, the moon is often used as a metaphor for beauty in Chinese culture.

Chang'e lives in the cold and mysterious Palace of Eternal Cold, leading people to associate the moon with both mystery and a certain cool aloofness.

In Greek mythology, the moon goddess Selene is regarded as the guardian of the night sky. Every night, she rides a silver chariot, pulling the moon across the heavens. Selene's beauty is unparalleled, and her light is gentle and mysterious.

One day, Selene encountered a mortal shepherd named Endymion, whose handsome appearance captivated her. Deeply in love, Selene begged Zeus to grant Endymion eternal youth and immortality so that they could be together forever. Zeus agreed, but the price was that Endymion would remain in eternal sleep.

From then on, Selene would descend from the night sky every evening to be with Endymion, guarding him and whispering her love to him as he slept.

Sun

In ancient China, many myths revolve around the sun. One of them, recorded in The Classic of Mountains and Seas (Shan Hai Jing), describes the scene of Xihe bathing the suns: "Xihe, wife of Emperor Jun, gave birth to ten suns. The ten suns bathe in the Sweet Abyss."

Xihe, the sun goddess and wife of Emperor Jun, had ten children—ten suns. They lived in a mysterious and beautiful place called Tanggu, located across the eastern seas. In Tanggu stood a colossal tree named Fusang, and it was here that the ten suns resided. Every day, one of the suns would take turns appearing in the sky, bringing light and warmth to the earth.

At dawn, the goddess Xihe would drive a magnificent chariot to accompany the sun of the day as it left the Fusang tree. This chariot, pulled by six mighty dragons, was awe-inspiring. Before the sun ascended the dragon chariot, Xihe would bathe it in the Xianchi, a magical pool capable of washing away all dust and fatigue.

In addition to bathing the suns in the Xianchi, Xihe often took her children to bathe in the Sweet Abyss, located across the southeastern seas. The waters of the Sweet Abyss were sweet and crystal clear, ensuring that the suns were clean and radiant. Whenever they bathed in the Sweet Abyss, the entire sky would become brighter and more brilliant.

Frequently asked questions

This is possible. Since all of our jewelry is handcrafted, slight variations may occur. Additionally, natural minerals may exhibit subtle differences in color and appearance.

Please avoid exposing silver jewelry to water and chemicals such as hairspray, perfume, and skincare products. Always remove silver jewelry when swimming, especially in seawater. We also recommend removing silver jewelry when bathing or doing laundry to prevent damage from alkaline products.

Due to exposure to sweat or oxidation, our pure silver jewelry may become dull. Don’t worry—simply use the polishing cloth included in your package to gently wipe the piece, and it will restore its original shine!

Note your gift message

The world is changing and so are we. Send your giftee a personal note, and we'll make sure it's wrapped with care. We're happy to provide this service for you.

Embrace it now!

Complete The Look

Inspired by the fusion of chinese culture and modern art

Camellia Set
Camellia Set
Camellia Set
Camellia Set
Camellia Set
Camellia Set
Camellia Set
Camellia Set
Camellia Set
Camellia Set
Camellia Set
Camellia Set
Camellia Set
Camellia Set
Camellia Set
Camellia Set
Camellia Set
Camellia Set
Camellia Set
Camellia Set
Camellia Set
Camellia Set
Camellia Set
Camellia Set
Camellia Set
Camellia Set
Camellia Set
Camellia Set
Camellia Set
Camellia Set

Camellia Set

$84.00
$106.00
Jade Set
Jade Set
Jade Set
jade series people4.jpg__PID:a29d001c-bfad-43e2-b811-0978a676cc10
Jade series people 1.jpg__PID:6f6d2d30-41a2-4d00-9cbf-ad13e2781109
Jade Set
Jade Set
Jade Set
Jade Set
Jade Set
Jade Set
jade series people4.jpg__PID:a29d001c-bfad-43e2-b811-0978a676cc10
Jade series people 1.jpg__PID:6f6d2d30-41a2-4d00-9cbf-ad13e2781109
Jade Set
Jade Set
Jade Set

Jade Set

$143.00
$179.00
Rose series people1.jpg__PID:3041a29d-001c-4fad-93e2-78110978a676
In me the tiger sniffs the rose.
Rose Set
Rose Set
Rose Set
Rose Set
Rose Set
Rose Set
Rose Set
Rose Set
Rose Set
Rose Set
Rose Set
Rose series people1.jpg__PID:3041a29d-001c-4fad-93e2-78110978a676
In me the tiger sniffs the rose.
Rose Set
Rose Set
Rose Set
Rose Set
Rose Set
Rose Set
Rose Set
Rose Set
Rose Set
Rose Set
Rose Set

Rose Set

$135.00
$169.00

What Soul Lotus customers say

White Camellia Oil Drop Necklace.jpg__PID:09f83090-39ac-4a6f-bdca-52406f43b3a1

I love this necklace! It's simple, elegant, and goes with everything. I have received so many compliments on it. The perfect gift for any friend or family member!

Lydia B.

925 silver colored glaze spiral ring side view.jpg__PID:93ae6522-af05-4af1-b997-ffee275406ba

This ring is absolutely stunning, whether I’m pairing it with my dress or a white blouse. My friends at work even noticed the beautiful reflection on my finger on my first day back! I’ve already shared this brand with them.

Zach P.

Silver Amulet Necklace for Protection and Fortune front view.jpg__PID:6522af05-1af1-4997-bfee-275406bae9eb

Highly recommend! My dad has always been fascinated by Eastern culture, so I chose this necklace as a Father’s Day gift. It features symbols of good luck and protection My dad loves it so much he even wears it in the shower! I’m already planning to get him another one for Christmas!

ALEX T.

Customer Reviews

Be the first to write a review
0%
(0)
0%
(0)
0%
(0)
0%
(0)
0%
(0)

Sign up for a free Soul Lotus membership and receive monthly special fortune guidance!

Simply provide your email to quickly and easily register as a Soul Lotus member for free. As a basic member, you'll receive our Soul Lotus newsletter and be the first to know about new product releases. Additionally, at the beginning of each month, you’ll receive a detailed monthly fortune guide, carefully crafted by our metaphysical and feng shui experts, based on your birth month and applicable to everyone! 

After registering, your purchases will start accumulating membership points, which we call 'Lotus Points.' As your points grow, you’ll be able to level up to higher membership tiers. Once you’ve accumulated enough points, you can redeem them for free shipping or exclusive discount cards!